Skip to Main Content
Departments
Government
Business
Visitors
I Want To…
Search
2026 Holiday Schedule
Circuit Court Clerk's Office News
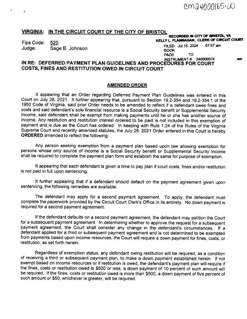
Deferred Payment Plan Guidelines
Employment Opportunities
Probate
Jury Duty
Concealed Handgun Permits
Marriage Licenses
Important Information for Marriage Officiants
Land Records
Secured Remote Access
OCRA
Criminal Case Information
VA Judiciary E-Filing System
Home
Departments
Circuit Court Clerk's Office
Deferred Payment Plan Guidelines
Deferred Payment Plan Guidelines
Online Payments
Meetings & Agendas
Election Information
City Helpdesk
BVTV
GIS
Government Websites by
CivicPlus®
Loading
Loading
Arrow Left
Arrow Right
[]
Slideshow Left Arrow
Slideshow Right Arrow